|
||||
|
|
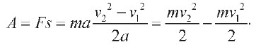
36. СКОРОСТЬ, ИМПУЛЬС И КИНЕТИЧЕСКА ЭНЕРГИЯ ДЛЯ МЕДЛЕННЫХ ДВИЖЕНИЙ Медленными считаются движения, совершаемые со скоростью, гораздо меньшей скорости света ? »c Для количественной характеристики процесса движения тела вводится понятие скорости движения. Мгновенной скоростью поступательного движения тела в момент времени t называется отношение очень малого перемещения ?S к малому промежутку времени ?t за которое произошло это перемещение: ? = ?S/?t Мгновенная скорость – векторная величина. При последовательном уменьшении длительности промежутка времени t направление вектора перемещения приближается к касательной траектории движения, через которую проходит тело в момент времени t. Поэтому вектор скорости V лежит на касательной к траектории движения тела и направлен в сторону движения тела. 1 м/с равен скорости прямолинейно и равномерно движущейся точки, при которой точка за время 1 с перемещается на расстояние 1 м. Покой и движение тела относительны, скорость движения тела зависит от выбора системы отсчета. Изменение скорости движения тела может происходить только при действии силы, т. е. в результате взаимодействия с другими телами. Если на тело массой m в течение времени t действует сила F и скорость его движения изменяется от до, то ускорение движения тела равно: ![]() На основании второго закона Ньютона для силы можно написать выражение: ![]() Из этого равенства следует, что: Физическая величина, равная произведению силы F на время t ее действия, называется импульсом силы. Имеется физическая величина, одинаково изменяющаяся у всех тел под действием одинаковых сил, если время действия силы одинаково. Эта физическая величина, равная произведению массы тела на скорость его движения, называется импульсом тела или количеством движения. Изменение импульса тела равно импульсу силы, вызывающей это изменение. Импульс тела является количественной характеристикой поступательного движения тел. В замкнутой инерциальной системе геометрическая сумма импульсов тел остается постоянной при любых взаимодействиях тел этой системы между собой. Пусть на тело массой m действует постоянная сила F и векторы силы F и перемещения направлены вдоль одной прямой в одну сторону. Работа силы в этом случае определяется как A = Fs. Модуль силы по второму закону движения равен F = ma, а модуль перемещения при равноускоренном прямолинейном движении связан с модулями начальной и конечной скорости и ускорения выражением: ![]() Отсюда для работы получаем: ![]() Физическая величина, равная половине произведения массы тела на квадрат его скорости, называется кинетической энергией тела. Тогда выражение для работы можно записать в виде: A = Ek2 – Ek1 |
|
||
|
Главная | В избранное | Наш E-MAIL | Прислать материал | Нашёл ошибку | Наверх |
||||
|
|
||||